Dataverse.

과학은 지난 5년간 엄청난 발전을 이루었다. 사회과학에서도 지난 5년간의 발전은 지난 50년간의 발전을 뛰어넘는다. 특히, 양적 연구방법의 발전은 다양한 형태로 진화되고 있다. 10년전만 하더라도 "회귀분석"이라고 하면 엄청난 과학적 방법론으로 여겨졌고, 이를 따라하기 위해 STATA, SAS, SPSS 등의 통계패키지를 많은 비용을 지불하고 배웠다.

하지만, 지금은 오픈 소스 code가 널려있고, 그것을 실행할 수 있는 Python, R 등의 통계 패키지가 활용되고 있다.

최근 서구에서는 'Dataverse'라는 신조어를 만들어내면서 학술논문을 학술지에 게재하기 위해서는 'Replication'이 가능하도록 코드와 데이터를 공개하는 추세이다. 이러한 추세는 우리나라에도 곧 닥치게 될 것이다.

연구자는 연구자의 연구물만이라도 공개되고 Replication 될 수 있기를 바라는 마음에서 최근 연구물의 자료와 코드를 공개하고자 한다.

이러한 노력이 행정학, 나아가 한국의 사회과학에 조금이라도 기여할 수 있기를 바라는 마음이다.

양적 분석방법

최천근(2026, in Review)

Anchoring Items

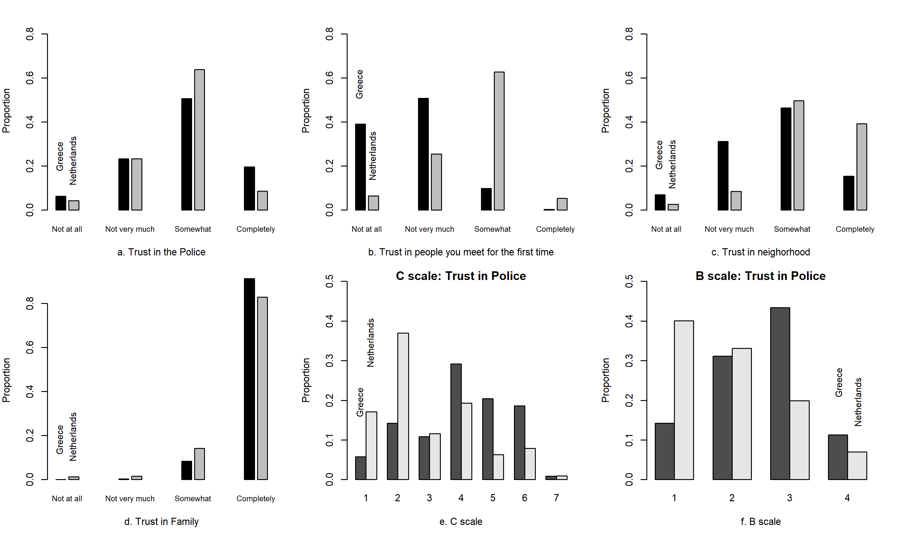
Anchoring Items 이 연구는 King et al.(2004)이 제기한 차별문항작용의 문제 인식을 바탕으로, 국가간 비교 연구에서 응답자의 속성과 태도 측정에 대한 전통적 측정방법의 대안으로 ‘고정항목’을 활용한 비모수적 측정 방법을 제안하는 것을 목적으로 한다. 국가 간의 문화적․제도적 차이로 인해 발생할 수 있는 국가간 비교 불가능성은 국가 간 비교연구에서 치명적인 한계로 작용한다. 이 연구는 World Value Survey 국제설문 프로젝트의 데이터를 활용하여 전세계 95개 국가에 대한 경찰신뢰를 전통적인 측정방법과 고정항목을 활용한 새로운 측정방법을 각각 적용하여 비교분석하였다. 분석 결과에 의하면, 원자료를 그대로 활용하는 전통적인 측정방법과 새로운 측정방법 간에 높은 상관관계가 있으나, 전통적 측정방법과 새로운 측정방법을 활용한 측정 간에 상당한 차이를 보이는 경우도 다수 발견하였다. 고정항목을 활용한 측정방법이 전통적 측정방법을 보완하여 국가간 비교연구에 새로운 통찰을 제공할 수 있기를 기대한다.

김민주 최천근(2024)

Conjoint

김민주 최천근(2024) 이 연구는 근로자의 임금피크제 주요속성의 선호도와 중요도를 확인하고, 인구통계학적 차이(성별, 연령별, 소득수준별)와 공사기업 소속별, 정책 도입 여부별 선호도와 중요도의 차이를 확인하는 것을 목적으로 한다. 이를 위해 임금피크제 주요속성으로 연장기간, 급여수준, 근로방식을 설정하고, 속성별로 각각 3개의 수준을 설정하여 공기업 200명과 사기업 200명을 대상으로 컨조인트 분석을 실시하였다. 전체 표본의 선호도 분석 결과에 따르면, 연장기간이 길어지고 급여수준이 높아질수록 선호도가 높았으며, 근로방식 측면에서는 편한 보직이나 재고용보다는 근로시간 단축을 더 선호하는 것이 확인되었다. 또한, 상대적 중요도는 급여수준, 연장기간, 근로방식의 순서로 나타났다. 특이하게도, 임금피크제 도입 여부와 연령대별 집단에서는 주요속성의 중요도 순위에 차이가 나타났다. 결론적으로, 임금피크제 도입과 관련하여 획일화된 정책보다는 정책집단별 특성에 맞는 차별화된 임금체계의 개발이 필요하다는 정책적 함의를 시사한다.

Bayesian Latent Variable Model

Bayesian Latent Variable Model

Bayesian Latent Variable Model 이 연구는 경찰에 대한 시민의 신뢰가 세계 각국과 비교하여 어느 정도 수준이고, 어떻게 변화하고 있는지를 실증적으로 비교 분석하는 것을 목적으로 한다. 하지만 다양한 국가를 대상으로 수십년 동안 동일한 설문문항을 활용하여 대규모 조사를 실시하는 것은 현실적으로 어렵다는 점에서 경찰신뢰에 대한 설문조사는 연도별․국가별․조사별로 분절되어 있다. 이러한 현실적 한계를 극복하기 위하여 Claassen(2019)의 베이지언 잠재변인 모형(Bayesian latent variable model)을 활용하였다. 이 연구는 한국, 미국, 영국, 일본 등을 포함한 전 세계 108개 국가를 대상으로 1990년부터 2024년까지 35개년 동안의 경찰 신뢰 수준을 추정하였다. 분석결과에 따르면, 한국의 경찰에 대한 신뢰는 1990년 이후 지속적으로 상승하였고, 2024년에 이르러 분석대상 108개 국가의 평균적 수준에 도달하였다. 또한 아시안․오세아니아 국가 또는 유럽 국가들의 평균보다는 낮은 수준이지만, 미대륙 국가들의 평균보다는 높은 수준이다. 이 연구가 두세 개 국가에 대한 단일 연도 비교분석를 뛰어넘어 한국의 경찰신뢰 변화를 국가간 비교하였다는 점에서 그 의의가 크다.

Organizational Commitment Dynamics

Organizational Commitment Dynamics

Organizational Commitment Dynamics 지난 20년간 조직몰입의 동태를 살펴보면 다음과 같다. 첫째, 좌측 패널은 2023년 현재 연령별 조직몰입의 수준을 나타내는 것이다. 대체로 연령이 높아질 수록 조직몰입은 낮아진다. 둘째, 중간 패널은 5개 조사년도(2003년, 2008년, 2013년, 2018년, 2023년)별로 연령별 조직몰입의 변화를 나타낸 것이다. 조사년도가 지날 수록 조직몰입은 전체적으로 높아지는 것을 알 수 있다. 또한, 연령이 높아질 수록 조직몰입은 낮아지는 현상을 볼 수 있다. 은 다양한 요인에 의해 영향을 받는다. 여기서는 연령, 공사부문, 정규직 비정규직, 조사년도를 공변량으로 선정하여 Bayesian 기법을 통해 모수를 추정하였다. 셋째, 우측 패널은 생년별로 조사연도에 따른 조직몰입의 변화를 살펴볼 수 있다. 생년이 늦을 수록 조직몰입은 높아진다. 이는 연령이 높아질 수록 조직몰입이 낮아지는 것과 같은 현상이다. 아울로, 조사연도가 지날 수록 조직몰입은 전체적으로 높아지는 현상을 다시 확인할 수 있다.

Organizational Commitment

Organizational Commitment

Organizational Commitment 조직몰입은 다양한 요인에 의해 영향을 받는다. 여기서는 연령, 공사부문, 정규직 비정규직, 조사년도를 공변량으로 선정하여 Bayesian 기법을 통해 모수를 추정하였다. 모수 추정이후에는 모수에 대한 사후확률분포를 바탕으로 MCMC 방법으로 Sampling 하였다. 다시 연령을 30세, 45세, 60세로 고정시키고, 공사부문을 공공부문과 민간부분으로 고정시키며, 정규직 여부를 정규직과 비정규직으로 고정시키고, 조사년도를 2023년도로 고정시켜서 시뮬레이션 하였다. 그 결과는 첨부한 그림과 같다. 결국, 공공부문 정규직 30세의 조직몰입도 기대값이 가장 높았고, 그 다음으로 공공부문 비정규직과 민간부문 정규직은 비슷한 수준을 보인다. 마지막으로, 민간부문 비정규직이 가장 낮은 조직몰입도를 보인다. 남녀간에는 차이가 없다.

Age Distribution by Occupations

Age Distribution

Age Distribution 우리는 공직의 직업지위 하락의 주요 원인이 평균 소득의 상대적 하락에서 찾을 수 있었다. 그런데, 직업별 평균소득은 연령분포의 변화에 따라 달라질 수 있다는 점을 유의할 필요가 있다. 즉, 평균 소득의 상대적 하락이 단순한 연령분포의 변화에서 기인한 것인지 아닌지를 확인할 필요가 있다. 이를 확인하기 위해서는 직업별 연령분포의 변화를 살펴보아야 한다. 위 그래프는 2013년, 2018년, 2024년 3개 년도의 직업별 연령분포를 나타낸다. 대체로 일반행정직 공무원 직업과 경영관련 종사자 직업에서 연령별 분포 측면에서 해가 갈 수록 나이들어가는 것을 확인할 수 있다. 20대의 분포 측면에서 과거 경영관련 종사자의 비율이 상대적으로 일반행정직 공무원의 비율 보다 높았던 것이, 최근에는 대체로 유사한 분포를 보이는 것으로 나타났다. 이는 문재인 정부에서 공무원 정원을 대량으로 늘린 것에서 기인한 것으로 볼 수 있다.

Age

Age

Age 연령에 대한 변화 추세를 확인한 결과, 비교대상인 4개 직업의 평균연령에서의 차이가 점점 좁혀져서 40대 초반으로 수렴하고 있다. 특이한 것은, 민간부문인 경영관련 사무원과 금융보험 종사자의 평균연령이 추세적으로 상승하고 있다는 점이 뚜렷하게 나타난다. 이는 인구의 고령화와 민간부문에서 임금피크제 도입으로 인한 정년의 연장, 그리고 경력직을 선호하는 민간부문의 경향이 복합적으로 작용한 결과로 보여진다. 평균적으로 가장 높은 연령을 가진 직업은 "금융보험 종사자"이고, "경찰소방교도관", "일반행정 공무원", "경영관련 종사자"로 나타났다. 일반행정직 공무원(코드 "311"), 경영관련 사무원(코드 "312"), 경찰소방 교도 관련 종사자(코드 "411"), 금융보험 종사자(코드 "320")의 직업별 평균 연령의 변화를 직접 확인할 수 있다.

Education

Education

Education Ganzeboom et al.(1992)의 직업 지위(SEI)는 직업별 소득, 학력, 연령에 의해 결정된다. 학력에 대한 변화 추세를 확인한 결과, 비교대상인 4개 직업은 전체적으로 학력이 높아지고 있다는 사실을 발견하였다. 평균적으로 가장 높은 학력을 가진 직업은 "일반행정직 공무원"이고, "금융보험종사자", "경찰소방교도관", "경영관련 종사자"로 나타났다. 일반행정직 공무원(코드 "311"), 경영관련 사무원(코드 "312"), 경찰소방 교도 관련 종사자(코드 "411"), 금융보험 종사자(코드 "320")의 직업별 평균 학력의 변화를 직접 확인할 수 있다. 공공부문인 일반행정직 공무원과 경찰소방 교도 관련 종사자의 학력의 상승이 눈에 띈다.

Income

Income

Income 앞서 공사부문 한국직업 지위(KSEI)에 대한 변화 추세를 확인한 결과, 한국 공무원들의 직업지위 지수가 점차 낮아지고 있다는 사실을 발견하였다. 그렇다고, 이것이 공무원들의 소득이 줄어들었다는 것이 아니다. 그것은 공무원들의 소득이 다른 직업군에 비해서 상대적으로 덜 늘어났다는 것을 의미한다. 이를 실증적으로 확인하기 위하여, 공사부문 직업별 월평균 소득의 변화를 분석하였다. 위 그래프에서 일반행정직 공무원(코드 "311"), 경영관련 사무원(코드 "312"), 경찰소방 교도 관련 종사자(코드 "411"), 금융보험 종사자(코드 "320")의 직업별 월평균 소득의 변화를 직접 확인할 수 있다. 월평균 소득 측면에서 경찰소방 교도 관련 종사자가 가장 높은 것으로 나타났다.

KSEI 2

KSEI2

KSEI 2 최근 공직에 대한 인기가 시들어가고 있다. 그것은 일시적인 현상인가 아니면 사회구조적 변화의 반영인가? 이를 이해하기 위해서는, 한국의 직업에 대한 지위(KSEI)에 대한 변화 추세를 확인할 필요가 있다. 연구자는 Ganzeboom et al.(1992)이 제안한 직업지위 지수를 측정하고, 2013년부터 2024년까지 직업지위의 추세를 분석하였다. 직업의 분류는 KSCO(한국표준직업분류 제7차) 3digit(중분류)를 활용하였다. 일반행정직 공무원(코드 "311"), 경영관련 사무원(코드 "312"), 경찰소방 교도 관련 종사자(코드 "411"), 금융보험 종사자(코드 "320")의 직업지위 변화를 확인할 수 있다.

KSEI

KSEI

KSEI Ganzeboom et al.(1992)은 ISCO(국제표준직업분류)의 4digit 세부 직업별로 사회경제적지위지수(ISEI)를 개발하였다. 그 이후, ISEI는 다양한 학문분야에서 활용되었으며, 특히 세계 여러국가들간의 비교에도 많이 활용되었다. 한국통계청에서도 ISCO 분류표를 원용하여 KSCO(한국표준직업분류)를 개발하였고, 이를 바탕으로 다양한 통계조사에서 개인의 직업을 분류하는데 활용되었다. 연구자는 Ganzeboom et al.(1992)의 기본모형(위 그림)을 원용하여 KSCO분류의 직업별 사회경제적지위 지수를 개발하였다. 이 지수에 의하면, 한국에서 사회경제적지위가 가장 높은 직업은 KSCO 중분류 "141"에 해당하였다. 여기서는, R 프로그래밍 getSei.R script를 공유한다. 다양한 방면에서 활용가능할 수 있기를 기대한다.

Working Paper2

Working Paper2

Working Paper1 직군별 직무만족의 남녀 차이에 대한 실태를 분석한다. 직군은 크게, "사기업", "공기업", "경찰", "교육직", "일반직"으로 구분한다. 전체적으로는, 여성이 남성에 비해 직무에 만족하는 것으로 나타났다. 하지만, 직군별로 살펴보면, 그 차이는 다른 양상을 보이고 있다.

Working Paper1

Working Paper1

Working Paper2 고령화와 더불어 퇴직후 진로에 대해 고민하는 사람들이 많다. 공무원, 군인, 경찰, 소방, 우정 등 특수직역 연금가입자들도 예외가 아니다. 26년간의 노동패널데이터를 바탕으로, 특수직역 연금가입자 중에서 2000년부터 2022년까지 퇴직한 사람은 총122명으로 나타났다. 노동패널에 등장하는 총4만명 중에서 약122명이 특수직역 연금가입자로 퇴직한 것이다. 연구자는 122명이 1년후에 어떤 상태에 있는지를 연구하고 있다. 그 기초데이터를 바탕으로, 1년후의 종사상 지위를 분석한 것을 그래프로 제시하였다. 122명 중에서 상용직으로 이동한 경우가 12명, 임시직으로 12명, 일용직으로 3명, 고용주나 자영업자로 9명, 무급가족종사자로 1명으로 나타났다. 이를 바탕으로, 퇴직 1년후에 취업을 하거나 그렇지 않은 경우를 결정하는 요인이 무엇인지에 대해 보다 심도있는 연구를 진행할 필요가 있다.

Blinder-Oaxaca Decomposition

Blinder-Oaxaca Decomposition

Blinder-Oaxaca Decomposition Blinder-Oaxaca 분해방법은 노동 시장 차별에 대한 연구에서 시작되었다(Blinder 1973; Oaxaca 1973). 예를 들어 경제학자와 사회학자들은 성별(예: Stanley and Jarrell 1998; Weichselbaumer and Winter-Ebmer 2005)과 인종(예: Darity, Guilkey, and Winfrey 1996; Kim 2010)에 따른 임금 및 소득 차이를 분해하였다. 행정학자들은 아시아계 결혼이주여성들의 국적에 따른 임금차별에 대해 분석하였다(김민길 등, 2017). Blinder-Oaxaca 분해는 차별에 대한 경험적 연구 뿐만 아니라, 두 집단 간의 연속적인 결과의 차이를 설명하는 데 적용될 수 있다. 예를 들어, 연구자들은 이를 사용하여 이민자의 동화(LaLonde & Topel, 1992), 학교 등록률(Borooah & Iyer, 2006), 건강 보험 적용 범위(Bustamante, Fang, Rizzo & Ortega, 2009), 흡연 유병률(Bauer, Göhlmann & Sinning, 2007), 지역 사냥 임대료(Munn & Hussain, 2010)에 대한 연구로 확장되었다.

Multilevel Modeling

multilevel modeling

Multilevel Modeling (또는 hierarchical linear modeling 위계적 선형모형)은 클러스터 내 종속성을 모델링하도록 설계되었다. 그런데, 그룹 수가 적거나 모델에 다양한 계수나 비중첩 구성 요소가 많이 포함된 경우 ML 접근 방식은 부분적으로 분산 매개변수를 정확하게 추정하기에 충분한 정보가 없기 때문에 제대로 작동하지 않을 수 있다. 이러한 경우 Restricted Maximum Likelihood(REML) 추정은 더 합리적인 추론을 제공한다. 나아가, 완전한 베이지안 접근 방식도 이러한 경우에 합리적인 추론을 제공하며, 다양한 절편과 기울기를 예측할 때 매개변수 추정치의 모든 불확실성과 관련 불확실성을 고려할 수 있다. 여기서는, AJPA(2018) 논문을 Replication 한다. 다양한 OLS, logit, ordered logit 모형에 대한 분석과 결과도 함께 확인할 수 있다.

No Individual Identifiers in Panel Data

No Individual Identifiers in Panel Data

No Individual Identifiers in Panel Data 패널조사에 있어서 응답자를 여러 wave에 걸쳐 연결하는 개별 식별자가 없는 경우가 있다(Yackee 및 Yackee 2021). 이러한 경우, 활용할 수 있는 방법이 Geys(2023)와 Murdoch et al.(2019)가 개발한 경험적 전략을 채택할 수 있다. 간단히 말하면, 응답자들의 특성 변수(성별, 나이, 근무연한, 주소지, 학력, 계급 등등)들을 함께 만족하는 경우는 많지 않다는 점을 고려하여, 매칭하는 기법이라 할 수 있다. 여기서는, Geys, B., Lægreid, P., Murdoch, Z., & Yackee, S. W. (2024). I’ma Survivor: Political Dynamics in Bureaucratic Elites’ Partisan Identification. American Political Science Review, 1-15. 의 논문에서 활용한 Simulation 방법을 Replication하고자 한다.

LATE & 2SLS

LATE & 2SLS

LATE & 2SLS 지역 평균 처치 효과(LATE)는 준수자 평균 인과 효과(CACE)라고도 하며, 샘플 그룹에 할당된 실험적 처치를 준수하는 피험자에 대한 치료 효과이다. 준수자와 비준수자를 모두 포함하는 평균 처치 효과(ATE)와 다르다. ATE와 유사하게 LATE는 계산되지만 비준수 당사자는 포함되지 않는다. 연구 목표가 준수하는 피험자에서 처치 효과를 평가하는 것이라면 LATE 값은 더 정확한 추정치를 제공한다. 그러나 처치 방법의 실제 배치에서 발생할 가능성이 있는 비준수 효과를 무시하여 외부 타당성이 부족할 수 있다. 사회과학에서는, LATE를 도구 변수 추정기(2SLS)를 통해 추정할 수 있다. 여기서는 APSR(2024)의 논문을 통해, 2SLS 방법을 활용한 LATE 추정방법을 Replication 하고자 한다.

Event history analysis

Event history analysis

Event history analysis Berry와 Berry(1990)가 정부 정책 채택의 내부적, 외부적 결정 요인을 모두 테스트하는 수단으로 사건 이력 분석을 도입한 이래로, 그들의 접근 방식을 따라하는 많은 수의 연구가 이루어졌다(Mallinson, 2021). 한편, Mallinson(2016)은 채택 여부를 나타내는 이분형 측정 방식이 채택 속도(fast or slow)의 점진적 변화 가능성을 약화시킬 뿐만 아니라 정책 확산 데이터에서 흔히 발생하는 우측 절단을 제대로 설명하지 못한다고 주장했다. 이에 따라, Adoption Speed를 측정하기 위한 다양한 노력이 이루어졌다. Nicholson-Crotty(2009), Mallinson(2016)의 측정방법이 그것이다. 여기서는, PSR(2022) 연구를 Replication 한다.

Survival Analysis

Survival Analysis

Survival Analysis 생존분석은 생존에 영향을 미치는 요인을 분석하는데 활용된다. 즉, 종속변수는 시간-사건 데이터에서 생존 여부가 된다. 시간-사건 데이터 분석중에서도 생존분석은 censoring(절단)을 그 특징으로 한다. 여기서는, JPART(2016) 논문을 Replication한다. 이 연구의 종속 변수는 오른쪽 절단이 있는 연도 단위의 기간으로, 일부 기관은 관찰 기간이 끝날 때에도 여전히 살아있다. 이런 종류의 종속 변수에 대한 적절한 통계적 모델이 바로 생존 모델이다. 모수적 및 비모수적 생존 모델이 모두 사용 가능하며 일부 연구자는 기본 위험 함수(Carpenter and Lewis 2004)에 대한 이론적으로 알려진 모수적 분포를 주장하기도 한다. 하지만, 기본위험 함수에 대한 지식이 부족하다면, semi-parametric model인 콕스 회귀 모델(Cox regression model)을 활용할 수 있다.

Regression Discontinuity

Regression Discontinuity

Regression Discontinuity 회귀 불연속 설계(RDD)는 할당 변수(실행 변수라고도 함)의 컷오프 또는 임계값에 의해 결정되는 집단 할당이 있을 때 인과 효과를 추정하는 데 사용되는 통계적 방법이다. 무작위화가 실행 가능하지 않은 준실험 설계에서 일반적으로 사용된다. 여기서는, AJPS(2024)의 논문을 Replication 한다. 이 연구에서는 주택 정책에 대한 다양한 정당의 도시 지도자를 선출하는 효과를 파악하기 위해 RDD를 사용한다. 두 정당의 투표 점유율에서 50%라는 임계값이 어느 정당이 선거에서 이길지를 결정한다는 사실을 이용한다. 이를 통해, 공화당이 아닌 민주당 시의원이나 시장을 선출하는 것이 지역 주택 정책에 미치는 인과 효과를 분리할 수 있다. RD 설계의 타당성은 단위의 잠재적 결과 분포가 아닌 승리한 후보만이 임계값에서 불연속적으로 변한다는 가정에 달려 있다(Hahn, Todd, and Klaauw, 2001; Lee and Lemieux, 2010). 이 가정의 타당성을 확인하는 방법은 McCrary 검정을 사용하거나, Cattaneo et al.(2019)의 비모수 검정 방식(rddensity)을 사용할 수 있다.

Structural Equation Modeling

Structural Equation Modeling

Structural Equation Modeling 구조 방정식 모델링은 잠재 변수가 있는 동시 회귀 방정식을 모두 모델링하는 선형 모델 프레임워크이다. 선형 회귀, 다변량 회귀, 경로 분석, 확인적 요인 분석, 구조적 회귀와 같은 모델은 SEM의 특수한 경우이다. SEM에서 가능한 관계는 다음과 같습니다. (1) 관찰 변수에서 관찰 변수로 (회귀분석), (2) 잠재 변수에서 관찰 변수로 (확인적 요인 분석), (3) 잠재 변수에서 잠재 변수로 (구조적 회귀). SEM은 측정 모델과 구조적 모델을 모두 포함한다. 측정 모델은 관찰 변수와 잠재 변수를 연결하고 구조적 모델은 잠재 변수와 잠재 변수를 연결한다. 현재 Mplus, EQS, SAS PROC CALIS, Stata의 sem소프트웨어를 활용할 수 있다. 여기서는 R의 lavaan 소프트웨어 프로그램을 활용하여 SEM 모델을 처리한다. 이것의 장점은 오픈 소스이고 무료로 사용할 수 있으며, 비교적 사용하기 쉽다. 또한, 여기서는 Ozdemir & Jacob(2021) 연구를 Replication 한다.

Inferential Network Analysis

Inferential Network Analysis

Inferential Network Analysis 지난 10년 동안 네트워크 데이터 분석을 위한 통계 기법이 상당히 발전했으며, 이러한 도구가 사용되는 빈도도 크게 증가했다. 이러한 기법은 상호 의존성이 높은 관계가 있는 상황에서 통계적으로 유효한 추론이라는 동일한 광범위한 목표를 달성하도록 설계되었지만, 이들 간에는 여전히 중요한 차이점이 있다. Cranmer et al.(2017)은 추론 네트워크 분석에 일반적으로 사용되는 세 가지 접근 방식(quadratic assignment procedure(QAD), Exponential Random Graph Models(ERGM), latent space network models(LSM))을 검토하여 이러한 기법의 강점과 약점을 서로 비교하여 설명하였다. 여기서는 Cranmer et al.(2017)의 연구를 Replication 한다. 그들은 네트워크 구조에 대한 단순한 기술적 측정을 넘어서는 네트워크 기법을 소개하고, 연구자들이 자신의 연구에 사용할 모델을 어떻게 선택하는지에 도움을 준다.

Anchoring Vignettes

Anchoring Vignettes

Anchoring Vignettes 이는 설문 조사 연구자가 개인 간 비교가 불가능한 설문 응답을 수정하는 데 사용할 수 있는 가상의 사람이나 상황에 대한 일반적으로 간략한 설문 방식이다. 설문 조사 질문은 측정되는 실제 양과 개인 간 비교 불가능성(즉, 응답자마다 다름)의 함수이다. 설문 조사 문헌은 수십 년 동안 비교할 수 없는 부분을 줄이기 위한 보다 구체적인 질문을 하는 데 집중했지만 성공하지는 못했다. 앵커링 비네트의 근간이 되는 새로운 아이디어는 비교할 수 없는 부분을 직접 측정한 다음 빼는 것이다. 이를 위해 응답자에게 앵커링 비네트에 설명된 여러 가상 개인 각각에 대한 동일한 척도로 평가와 함께 측정되는 개념에 대한 자기 평가를 요청한다. 비네트에 나오는 사람들의 실제(반드시 보고되지는 않음) 수준은 설문 조사 설계상 응답자에 따라 불변하므로 비네트에 대한 답변이 응답자에 따라 다른 유일한 이유는 개인 간 비교 불가능성 때문이다.

Regularized Regression

Regularized Regression

Regularized Regression 상관관계가 있는 독립변수의 문제는 약한 정보의 prior 또는 정규화를 통해 분산을 줄이는데 도움된다. 즉, 정규화(Ridge, LASSO, Elastic Net)는 높은 상관관계를 가진 데이터를 활용한 통계적 추정치를 개선할 수 있다. 그러나 모든 정규화 절차는 데이터 생성 프로세스에 대한 가정을 포함하며, 이러한 가정이 성립할 수 없는 경우 반직관적인 결과를 초래할 수 있다. 정규화가 단순히 분산 추정치를 축소시키는 것이 아니라 인과 경로의 뒷문을 다시 열어 일부 효과의 추정치를 부풀리고 잘못된 상황에서는 방향을 반전시킬 수 있다. 다시 말해, 지나치게 강력한 페널티 항을 사용하면 정규화는 정규화되지 않은 추정치로 공변량 조정에 의해 차단된 뒷문 인과 경로를 통해 교란을 다시 도입할 수 있다는 것이다. Jonathan & Christopher(2024)는 베이지안 사전 확률을 직접 사용하거나 빈도주의적 정규화 회귀의 암묵적 가정을 사전 확률로 변환하여 그 타당성과 영향을 평가할 것을 제안한다.

Randomization Inference

Randomization Inference

Randomization Inference 무작위 추론은 무효과의 귀무가설을 날카롭게 검증하고, 점 추정치 주변의 불확실성을 추정하는 것이다(Fisher 1935; Rubin 1990; Erikson, Pinto, and Rader 2010, 2014). 장기간의 역사적 관측치에서 추정된 ATE는 무효과의 날카로운 귀무가설 하에서 추정된 ATE의 샘플링 분포와 비교된다(Gerberand Green 2012, p.62). 명확한 귀무가설에 따른 추정 ATE의 표본 분포는 과거 역사적 분포에서 무작위로 추출한 자료를 기반으로 한다. 수십 년 분의 글로벌 데이터에 대한 접근으로, 연구자는 이 무작위 추론기법을 날씨, 사회 경제, 공중 보건, 폭력과 같은 다양한 지역의 데이터 소스에 사용할 수 있다. 또한, 날씨 지표와 자연적 위험(예: 강수량, 기온, 바람, 화재 또는 화산 폭발로 인한 공기 입자)과 같은 재해는 공간적으로 클러스터링된다.

Heterogeneous Effect

Heterogeneous Effect

Heterogeneous Effect 연구자는 베이지안 LASSO 절차를 사용하여 데이터에 과적합되는 것을 피하기 위해 종속변수에 대한 독립변수의 이질적 효과의 가능성을 추정할 수 있다. 기본적으로 이 베이지안 버전의 LASSO는 계수에 대한 이중 지수 사전 확률을 사용하여 작은 효과를 0으로 설정하고 큰 효과는 변경하지 않는다. 이 모델에서 연구자는 종속변수와 독립변수 간의 유연한 관계를 추정하기 위해 다른 통제변수와 상호 작용시킨다. 이 모델에는 이러한 변수의 모든 하위 순서 항도 포함된다. 연구자는 R 컴퓨팅 환경에서 sparsereg 패키지를 사용하여 이 절차를 구현할 수 있다. 결과에 따르면 인종적 분노에 대한 시위의 효과는 도시화가 매우 심한 지역에서 특히 두드러진다.

Mediation Effects

Mediation in r

Mediation Effects mediation은 모수적 및 비모수적 인과적 매개 분석을 모두 허용하는 R 패키지이다. Imai, Keele, and Yamamoto(2010)와 Imai, Keele, and Tingley(2010)의 방법과 제안을 구현한 것이다. 이 패키지는 2015년 PolMeth Statistical Software Award를 수상했다. 이 소프트웨어는 인과적 매개 효과의 추정 외에도 연구자들이 특정 매개변수적 모델에 대한 민감도 분석을 수행할 수 있도록 한다. 제1단계: 기본모형(X->Y), 제2단계: 매개변수 회귀분석(X->M), 제3단계: 비모수 부트스트랩 또는 준베이지안 몬테카를로 근사법, 제4단계: summary(ACME, ADE, Total Effect), 제5단계: 그래프 그리기

Sensitivity Test

Sensitivity Test

Sensitivity Test 정책효과에 대한 회귀분석에 있어서 선택편의(selection bias)는 항상 문제가 될 수 있다. 또한, 분석결과에 있어서 변수 조작화나 추가대안 설명(생략 변수 편의)도 문제될 수 있다. 이러한 추론에 대한 주요 위협은 종속변수와 주요 독립변수에 동시에 영향을 미치는 관찰할 수 없는 교란요인(confounds)이 있다는 것이다. 연구자는 관찰 가능한 가정에 대한 이러한 결과의 민감도를 평가하기 위해 Blackwell(2014)가 제시한 민감도 분석을 실시할 수 있다. 이 검정은 관찰할 수 없는 교란요인에 대한 ATT의 민감도를 평가하여 그러한 관찰 불가능한 요인이 추정된 효과 전체를 설명하기 위해 얼마나 큰 효과가 있어야 하는지를 알려준다.

No Pretrend Test

No Pretrend Test

No Pretrend Test 잠재적인 시간 가변 교란 요인이 순환적이거나 정책채택 시작 직전에 나타나지 않는 경우, placebo test에서 이를 포착하지 못할 수 있다. 이러한 상황에서는 사전 추세에 대한 보다 포괄적인 검정이 필요하다. 자연스러운 접근 방식은 모든 사전 정책채택 기간의 잔차 평균이 0인 귀무 가설 집합을 공동 검정하는 것이다. 즉, 모든 s ≤ 0에 대해 ATT = 0입니다. 여기서도 F 검정과 TSOT 검정을 실시한다. 마찬가지로, 두 검정의 귀무가설은 다른 점에 유의하자.

TSCS placebo test

TSCS placebo test

TSCS placebo test 기본 아이디어는, 정책채택이 채택 그룹의 각 단위에 대해 실제 시작보다 S 기간 일찍 시작한다고 가정하고(Ci = 1) 동일한 반사실적 추정치를 적용하여 s = −(S − 1), . . . ,−1, 0에 대한 ATT 추정치를 얻는다. 또한 S 채택 전 기간에 대한 전체 ATT를 추정할 수 있다. TECS 기본가정 1~3이 유지된다면 이 가짜 'ATT' 추정치의 크기는 0에 가까울 것으로 예상한다. 이 'ATT' 추정치가 통계적으로 0과 다르다면 식별 가정 중 일부 또는 전부가 유효하지 않을 가능성이 있다는 증거가 된다. 주요 test 는 F검증과 TSOT검증이 있다. 다만, 두 검증의 귀무가설은 다르다는 점을 유의하자.

Dynamic Treatment Effects

Dynamic Treatment Effects

Dynamic Treatment Effects TSCS 데이터를 이용한 연구에서 연구자들은 종종 소위 '동적 치료 효과'를 그래프로 표시하는데, 이는 치료 지표와 치료 시작을 기준으로 한 기간 수(lag & lead)를 나타내는 더미 변수 집합 간의 상호 작용 항의 계수이다.예를 들어, s = −4,−3, . . . , 0, 1, . . . ,5이며, 여기서 s = 1은 단위가 치료를 받는 첫 번째 기간을 나타낸다.이때 단위 및 시간 FE를 통제한다. r package fect를 활용하여 쉽게 현출할 수 있다. 제1단계: TSCS 시각화, 제2단계: Counterfactual Estimators(FEct, IFEct, MC) 제3단계: No Pre-trend 검증, 제4단계: Placebo test, (제5단계: Carryover Effects), (제6단계: cohort-wise estimation)

SCMs

NORM

SCMs Abadie와 Gardeazabal(2003) 및 Abadie et al.(2010)이 개발한 SCM은 처리 단위를 synthetic doppelganger country와 비교하여 정책 개입의 영향을 정량화할 수 있는 통계모형을 제공한다. SCM은 처리 그룹의 각 국가(포퓰리즘 사건을 경험한 국가)에 대한 합성 매치를 생성하고, "doner countries"(분석 대상 기간 동안 포퓰리즘 사건이 없는 국가) 풀을 활용하며, 포퓰리즘 사건 이전의 행동에서 유사성을 목표로 함으로써 내생성 문제를 해결한다. 이 방법은 합성 도플갱어가 포퓰리즘 정부가 선출되지 않았다면 포퓰리즘 국가가 따랐을 궤적을 따를 것이라고 가정한다.

Synthetic Control Method

Synthetic Control Method

Synthetic Control Method 합성통제방법(Synthetic Control Method)는 비교사례 연구에서 어떤 정책개입이나 관심사건의 인과적 효과를 추정하도록 설계되었다(Abadie & Gardeazabal 2003; Abadie, Diamond & Hainmueller 2010). 이 방법은 특히 상위단위(즉, 국가, 도시, 지역 등)에서 발생하고 비교적 적은 수의 단위에 영향을 미치는 사건을 조사하는데 적합하다. 예컨대, 통일이 독일의 경제성장에 미치는 영향과 같은 연구이다. 특히, 2015년 1월 현재, Abadie et al.(2014) 연구는 3000회이상 인용된 논문이고, 하바드 데이터버스의 다운로드 기록은 6400회에 이른다. small-N 비교사례 연구를 진행하는 연구자라면 반드시 읽고 학습할 필요가 있다. 구체적인 활용사례는 다음 SCMs를 참고하기 바란다.

PanelMatch

Matching

PanelMatch PanelMatch는 Imai, Kim, Wang(2021)이 제안한 방법론을 구현한 R 패키지로, 연구자들이 이진 처리가 있는 시계열 횡단면 데이터에서 인과적 추론을 위한 매칭 방법을 가능하게 한다. 이 패키지에는 성향 점수와 마할라노비스 거리를 기반으로 하는 매칭 방법과 가중치 방법의 구현이 포함된다. PanelMatch를 사용하면 표준 오차와 함께 다양한 관심 수량을 쉽게 계산할 수 있다. 이 소프트웨어는 유연하여 사용자가 많은 수의 매개변수로 매칭, 정제 및 추정 절차를 조정할 수 있다.

DID & matching

DID & matching

DID & matching 최근 5년간 정책학 분야에서 급속도로 발전한 방법론 중 하나가 DID 분석이다. DID분석은 정책 채택 집단과 그렇지 않은 집단의 비교를 통해 정책의 효과성을 입증한다. 그런데, 작은 수의 처치집단과 다수의 통제집단이 존재하는 경우, 대안의 하나로 matching 기법을 활용할 수 있다. 출처: Colner(2024)

Congruence Measure

Congruence Measure

Congruence Measure 정치학자들은 대중-엘리트의 선호 일치성(Congruence)에 관심을 가진다. 즉 선출된 엘리트의 선호도가 유권자의 선호도를 반영하는 정도에 관심을 갖는다.그러나 일치성 측정은 다양하다. 최근 컴퓨터 과학을 활용한 새로운 일치성 측정법을 제시하였는데, Earth Mover's Distance(EMD)이다.

Alluvial Plots

Alluvium

Alluvial Plots 이 그래프는 범주형 또는 순서형 변수가 있는 다차원 또는 반복 측정 데이터를 나타내기 위해 가변 폭 리본과 막대형 그래프를 사용한다. Riehmann, Hanfler, & Froehlich(2005) doi:10.1109/INFVIS.2005.1532152, Rosvall & Bergstrom(2010) doi:10.1371/journal.pone.0008694를 참조하세요. 이 그래프는 Wilkinson(2006) doi:10.1007/0-387-28695-0이 활용한 통계적 그래프이다.

Baysian Factor Analysis Measurement

MCMC

Baysian Factor Analysis Measurement 사회과학 개념의 측정은 매우 중요하다. 최근 베이시언 기법을 활용한 측정방법이 활용되고 있다. 예컨대, 민주주의라는 개념을 측정한다면, 민주주의라는 지표가 이진(예: 당일 유권자 등록), 순서형(예: 모든 범죄자, 일부 범죄자 또는 범죄자 없음) 또는 연속형(예: 입법 지구 효율성 격차)일 수도 있기 때문에 혼합 데이터에 베이지안 요인 분석을 사용할 수 있다(Quinn 2004).

Likert Graph Template

Likert

Likert Graph Template 사회과학에서 Likert 척도를 활용한 설문조사가 대부분을 차지한다. 하지만, Likert 척도로 측정된 설문문항을 제대로 그래프로 보여주는 것을 찾아보기 어렵다. 이 템플릿이 유용하게 활용될 수 있기를 바란다. 출처: Schaeffer et al.(2024) 2022년 9월부터 10월까지 덴마크에서 태어난 성인 4,800명과 덴마크에서 태어난 부모를 대상으로 실시하였다(Schaeffer et al., 2024)

Online Survey Experiments

Survey

Online Survey Experiments 위 실험은 2022년 9월부터 10월까지 덴마크에서 태어난 성인 4,800명과 덴마크에서 태어난 부모를 대상으로 실시하였다(Schaeffer et al., 2024).

Factorial Design

NORM

Factorial Design 규범 기반 정보 캠페인이 부패를 줄일 수 있을까? 이러한 캠페인은 사람들이 일반적으로 어떻게 행동하는지(설명적 규범) 또는 어떻게 행동해야 하는지(명령적 규범)에 대한 메시지를 사용한다. 우크라이나에서 실시한 설문 조사와 실험실 실험을 바탕으로 이 두 가지 유형의 사회적 규범의 뚜렷한 효과를 분석하고 평가한다. 이러한 결과는 메시징 캠페인, 특히 부패와 같이 집단 행동 딜레마를 완화해야 하는 사회 문제를 해결하는데 큰 의미를 갖는다. 사회조사에 있어서, Factorial Design의 예로 훌륭하다.

TSCS graph

TSCS

TSCS graph TSCS 데이터를 분석하는 데 있어서, 시계열별 자료를 그래프로 정확히 현출하는 것이 중요하다. 위 그림에서는 매일 전3일간의 평균값을 구하고, 그 값의 년간 변화를 보여주고 있다. 위 그림을 현출하는 방법을 R code로 첨부하였다.

TSCS

TSCS

TSCS TSCS 데이터를 분석하는 데 사용 가능한 모든 방법 중에서 이중차분법(DID)와 이원 고정 효과방법(Two-Way Fixed Effects)이 사회과학에서 가장 자주 사용된다. 스탠포드대학교 Xu 교수의 TSCS 분석방법의 수식을 종합하였다.

TORCH-CHOICE

TORCH-CHOICE

TORCH-CHOICE PyTorch를 사용하여 유연하고 빠른 선택 모델링을 위한 라이브러리이다 이 라이브러리에는 추정과 예측을 위해 설계된 로짓 및 중첩 로짓 모델이 있다. Authors: Tianyu Du, Ayush Kanodia and Susan Athey; Contact: tianyudu@stanford.edu

Random Forest

랜덤포레스트

Random Forest 랜덤 포레스트(random forest) 머신러닝 예측모델은 데이터 생성 프로세스(DGP)에 대한 가정없이 비선형성, 공변량 간의 상호 작용 또는 관련 없는 공변량의 포함을 매우 유연하게 처리하는 예측 도구이다(Montgomery & Olivella, 2018). 연구 결과, 계층이동 기대 불일치의 측정 타당성을 확인하였고, 직무만족에 미치는 부의 영향과 고등교육을 통한 상호작용 효과를 확인하였다.

Latent Class Analysis

컨조인트분석

잠재계층분석 잠재계층 분석(LCA)은 불안태도의 유형을 분류한다고 하면, 불안태도 질문에 대한 사람들의 응답의 유사성을 기반으로 별개의 “프로필(profile)” 또는 “계층(class)”의 존재를 조사하는 기법(Magidson & Vermunt, 2004)으로, 두 개의 불안 잠재유형(일상적 위험 불안 유형, 비일상적 위험 불안 유형)에서 차별화된 계층을 찾는데 적합한 방법이다.

컨조인트분석

컨조인트분석

컨조인트분석 컨조인트 분석은 펙토리얼(Factorial)로 설계된 평가의 결과들을 낱낱이 나누는 것을 뜻하는데, 평가 대상의 속성을 평가자들이 평가한 후 그 결과를 통해 속성들이 가지고 있는 효용성을 계산할 수 있도록 한다. 즉, 평가자들이 심리적인 판단을 측정하고자 하는 기법이라고 말할 수 있다.

질적 분석방법

Structural Topic Model

Structural Topic Model

Structural Topic Model 구조적 주제 모델(STM)을 사용하면 연구자는 문서 단위의 공변량을 사용하여 주제 모델을 추정할 수 있다. stm 패키지에는 모델 선택, 시각화 및 주제 공변량 회귀 추정을 위한 도구를 포함한다. STM 개발자: Roberts et. al.(2014) ,Roberts et. al.(2016) Vignettes: Roberts et. al. (2019) . 여기서는 APSR(2023)에서 활용한 STM 분석기법을 Replication 한다.

토픽모델링

토픽모델링 LDA기법은 문헌 내의 잠재된 토픽을 추정하는 것으로 어떤 단어들을 어떠한 토픽에서 선택하여 배치할 것인지 각각의 파라미터(parameter; α, β)로 모델링하는 기법으로 문헌, 단어 등 관찰된 변수(w)를 통해 문헌의 구조 같은 잠재 변수를 추론하는 것을 목적으로 한다. 여기서는, 김은영, & 최천근. (2024). 토픽모델링을 활용한 노인장기요양보호 환자의 주 보호자 돌봄 부담 연구. 융합사회와 공공정책, 18(1), 3-29. 논문의 분석 코드를 공유하고자 한다.

Content Analysis

Content Analysis

Content Analysis 내용 분석은 주어진 질적 데이터(예: 텍스트) 내에 특정 단어, 주제 또는 개념이 존재하는지 확인하는 데 사용되는 연구 방법이다. 내용 분석을 사용하여 연구자는 특정 단어, 주제 또는 개념의 존재, 의미 및 관계를 정량화하고 분석할 수 있다. 예를 들어, 연구자는 뉴스 기사에서 사용된 언어를 평가하여 편향이나 편파성을 찾을 수 있다. 그런 다음 연구자는 텍스트 내의 메시지, 작성자, 청중, 심지어 텍스트를 둘러싼 문화와 시간에 대한 추론을 할 수 있다. 여기서는, APSR(2024) 논문중에서 open-ended question에서 제시된 답변을 바탕으로 표로 정리한 방법을 Replication 하고자 한다. 행정학에서 어떤 정책의 성공요인이나 실패요인 등에 대해 응답자로부터 주관적인 답변을 듣는 경우가 있는데, 그 결과를 논문이나 학술지에 보고하는 방법의 하나로 활용될 수 있기를 기대한다.

Meta Analysis

Meta Analysis

Meta Analysis 메타 분석을 적용하면 동일한 질문을 다루는 다양한 과학적 연구를 분석할 수 있다. 모든 개별 연구에는 어느 정도의 오류가 포함되어 있다고 가정한다. 예를 들어, 개별연구는 특정 질병에 대한 두 가지 치료법의 사망률이 될 수 있다. 목표는 개별 연구 간의 이질성을 고려하여 개별 연구로부터 통합된 요약 추정치를 얻는 것이다. 개별 연구에서 집계된 데이터는 더 높은 통계적 힘으로 이어진다. 연구절차는 다음과 같다. (1) 연구문제 정의 (2) 선별된 개별 연구에 대한 포함/제외 기준을 정의한다. (3) 문헌 검색 (4) 적격 연구 선택 (5) 데이터 수집 (6) 연구 전반에 걸쳐 결과를 종합하고 효과 크기에 대한 합동 추정치를 얻는다. (7) 포함된 연구의 이질성 평가 (8) 민감도 및 하위군 분석 수행. 여기서는 APSR(2021) 메타분석을 Replication 한다.

Q Methodology

Q Methodology

Q Methodology William Stephenson 에 의해 고안된 성격(인성)측정 방법으로, 사람의 개인적 관점, 의견과 같은 주관(subjectivity) 연구에 유용한 방법이다. 피조사자들이 특정한 대상이나 현상에 대해 가지고 있는 생각이나 태도, 가치관 등의 유사성에 따라서 요인분 석에 의해 집단으로 분류하는 방식이다. 사람들이 페미니스트, 포르노, 레즈비언 등을 어떻게 생각하는지 등의 연구에도 사용되어 왔다. 제1단계: 연구대상자나 관찰자에게 많은 종류의 진술문이나 그림 등을 준다. 제2단계: 연구자가 제시한 평정척도 상에 대상자 자신의 기호나 판단을 가장 많이 긍정, 가장 적게 긍정 단계에 따라 분류한다. 제3단계: 제시된 자료에 대해 연구대상자, 관찰자가 생각과 일치하는 정도에 따라 순위를 매기게 한다.

Qualitative Comparative Analysis

Qualitative Comparative Analysis

Qualitative Comparative Analysis QCA 연구방법은 결과를 얻기 위해 원인이 결합되는 방식을 식별하는 데 중점을 둔다. 예를 들어, 인구 통계, 천연 자원의 풍부함, 제도적 개발의 조합은 내전을 일으키는 것일까? 답은 다음과 같을 수 있다. 천연 자원이 풍부하고 제도적 구조가 약하거나 인종 간 분열이 심할 때 갈등이 발생한다. 핵심적 아이디어는 다양한 조건 구성이 동일한 결과(동등한 최종성)로 이어질 수 있고, 연구의 관심사는 어떤 조건 조합이 중요한지 평가하는 것이다. 많은 정성적 비교 분석 응용 프로그램은 부울 최소화 알고리즘을 사용하여 어떤 요인 구성이 다른 결과와 관련이 있는지 평가한다. 비평가들은 이러한 알고리즘이 측정 오류에 민감하다고 강조한다(Hug 2013). 이러한 민감성을 지적하면서 일부는 심지어 QCA를 조사 프레임워크로 거부해야 한다고 주장하기까지 한다(Lucas and Szatrowski 2014; Baumgartner and Thiem 2017 참조). 아무튼 여기서는 AJPS(2022)에서 활용한 QCA 방법을 Replication 한다.

대한민국 시군구 지도

대한민국 시군구 지도 ggplot을 이용하여 지도를 그릴 수 있다. 제1단계: shapefile 다운받기, 제2단계: 지도 데이터 불러오기(read_sf() 함수), 제3단계: 한글 출력 문제 Encoding(iconv 함수), 제4단계: 지도 그리기(geom_sf() 함수), 제5단계: 부가데이터 처리(예: 서울시군구별 문화시설 개소), 제6단계: 시군구 대표경도위도 데이터처리(시군구 이름 붙이기), 제7단계: 최종적으로 "서울 시군구별 문화시설 개소" 그리기 완성, 유의사항: crs 설정이 매우 중요

US Counties Map

US Counties Map 일반적으로 R에서는 알래스카와 하와이를 포함하는 멋진 미국 지도를 만드는 것이 어렵다. library("usmap")에 제시된 함수는 이러한 주를 수동으로 새 위치로 이동하고 매핑 및 시각화를 위한 간단한 피처(sf) 객체를 제공하여 이 문제를 우아하게 제시한다. 이를 통해 사용자는 미국 지도에 공간 데이터나 피처를 쉽게 추가할 수 있다. 이러한 원리로 한국 행정통계 지도에 적용할 수 있는 koreamap library를 개발할 수 있을 것으로 기대한다.

선진외국 비교분석

선진외국 비교분석 매칭 프론티어 기법(Matching Frontier)는 기존의 매칭방법을 최적의 유연한 접근 방식으로 통합하여 바로 위에서 제시한 두 가지 한계를 해결하였다(King & Nielsen, 2019). 첫째, 매칭 프론티어 기법은 가능한 각 샘플 크기(N, N-1, N-2, ... )에 대해 최대 균형으로 일치하는 솔루션을 계산한다. 둘째, 매칭 프론티어 기법은 명백한 편향-분석 최적화 문제를 한 번의 실행으로 수동 조정없이 자동으로 해결해주는 장점이 있다. 여기서는, 최천근. (2024). 매칭 프론티어 기법을 통한 선진외국과의 경찰인력 및 치안활동성과 비교분석. 한국경찰연구, 23(3), 103-126. 논문의 분석 코드를 공개한다. 이 연구에서는 매칭 프론티어 기법을 활용하여 한국의 시도경찰청 또는 경찰서와 가장 유사한 미국, 영국, 일본의 경찰관서를 탐색하고, 그 경찰관서 간의 비교를 통해 경찰인력 규모의 수준과 경찰활동성과를 비교하였다.

Fuzzy AHP & Fuzzy TOPSIS

Fuzzy TOPSIS TOPSIS (Technique for Order Preference by Similarity to Ideal Solution)는 Hwang(1981)에 의 해 개발 되었고, 대안들과 이상적인 해(solution) 간의 유사성과 최악의 해와의 거리를 비교하여 대안의 상대적 우수성을 평가하는 방법이다.

AHP

AHP AHP(Analytic Hierarchy Process) 분석기법은 1970년대 초에 Saaty에 의해 개발된 계층분석기법으로 해결해야 할 문제 또는 의사결정 체계를 몇 개의 계층으로 구성하여 요소 간의 상대적인 우선순위를 정하려는 분석기법으로 정량적인 분석이 어려운 의사결정 분야에서 전문가들의 정성적인 판단을 활용하여 경쟁 요소의 중요도를 구하는 데 유용하게 활용될 수 있다.